To calculate result you have to disable your ad blocker first.
Geometric Mean Calculator
Enter the comma seprated data set values in the input box. Hit the Calculate button to find the geometric mean using geometric means calculator.
Geometric Mean Calculator
Geometric mean calculator is an online statistical tool that calculates the geometric mean of the sample data set.
What is geometric mean?
Geometric mean is a type of average that indicates the central tendency of a set of numbers by using the product of their values. The geometric mean is defined as the nth root of the product of n numbers.
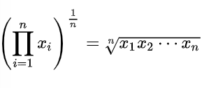
Geometric mean formula

Where,
- n is the total numbers of samples,
- x1, x2, x3,…. are individual values in the data set.
How to find the geometric mean?
To calculate the geometric mean of the given data set, follow the below example.
Example:
Find the geometric mean of the following set of data.
3, 5, 2, 9, 4, 1, 5, 2
Solution:
Step 1: Identify the values.
x1 = 3, x2 = 5, x3 = 2, x4 = 9, x5 = 4, x6 = 1, x7 = 5, x8 = 2
N = 8
Step 2: Write the geometric mean formula and place the values.
![]()
![]()
G.M = (10800)1/8
G.M = (10800)0.125
G.M = 3.1928
Geometric Mean Table
Geometric Mean of 4 and 9 | 6 |
Geometric Mean of 4 and 10 | 6.3246 |
Geometric Mean of 4 and 12 | 6.9282 |
Geometric Mean of 4 and 16 | 8 |
Geometric Mean of 5 and 20 | 10 |
Geometric Mean of 2 and 8 | 4 |
Geometric Mean of 2 and 25 | 7.0711 |
Geometric Mean of 8 and 12 | 9.7980 |
Geometric Mean of 9 and 16 | 12 |
Geometric Mean of 8 and 18 | 12 |
Geometric Mean of 5 and 15 | 8.6603 |
Geometric Mean of 5 and 10 | 7.0711 |
Geometric Mean of 100 and 25 | 50 |
Geometric Mean of 4,6 and 9 | 6 |
References
- Geometric mean // tutors.com. Tutors.com. (n.d.).
- How to find geometric mean. Geometric mean. (n.d.).